Some issues related with Unified State Examination in Informatics in Russian Federation
Wednesday, June 24, 2020
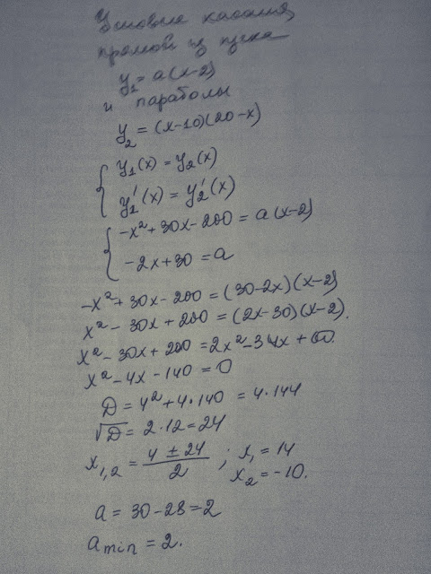
Стрим 70 2020 Инфоматика БУ и решение задачи №18
https://www.youtube.com/watch?v=FAobNtrCRGI
1 час 35 мин
Эквивалентно
(A*(x-2) >= y) v (((x-10)*(20-x) < y)
≡
True
Найти наименьшее А при котором облась ложности второй скобки,
то есть
(((x-10)*(20-x) >= y)
находится в полуплоскости (A*(x-2) >= y)
No comments:
Post a Comment
Newer Post
Older Post
Home
Subscribe to:
Post Comments (Atom)
Multivariate Time Series Forecasting with LSTMs in Keras
Нейронные сети, такие как рекуррентные нейронные сети с Long Short-Term Memory памятью (LSTM), способны почти без проблем моделировать п...
What is interesting in the work of E.A. Mironchik "Solving problems EGE-18 with per bit operations " (2017) ?
****************************** UPDATE as of 24/11/2018 ****************************** Treat problem 5 from original manuscript htt...
Техника Полякова "Множества и логика в задачах ЕГЭ " как универсальный подход к решению задач типа 18
Обновление от 26.04.2019 ========================================================== Смотри работы 1. http://kpolyakov.spb.ru/download/me...
No comments:
Post a Comment